RECAPITULATE | REFRESH | REINFORCE

TOPIC SUMMARIES


SERIES, SEQUENCES AND MATHEMATICAL INDUCTION

SS MI summary.png

FUNCTIONS

Functions summary.png

VECTORS

vectors summary.png

MACLAURIN SERIES

maclaurin series.png

APPLICATIONS OF INTEGRATION

appl of integration summary.png

CENTRAL LIMIT THEOREM / POPULATION PARAMETER ESTIMATES

CLT summary.png

CONSOLIDATED PURE MATHS SUMMARY PART 2

overall summary 2.png

ARITHMETIC/GEOMETRIC PROGRESSIONS

AP GP summary.png

GRAPHING TECHNIQUES

graphing techniques summary.png

DIFFERENTIATION TECHNIQUES

differentiation techniques summary.png

DIFFERENTIAL EQUATIONS

DE summary.png

BINOMIAL/ POISSON DISTRIBUTIONS

binom poisson summary.png

HYPOTHESIS TESTING

hypothesis testing summary.png

CONSOLIDATED STATISTICS SUMMARY

statistics summary.png

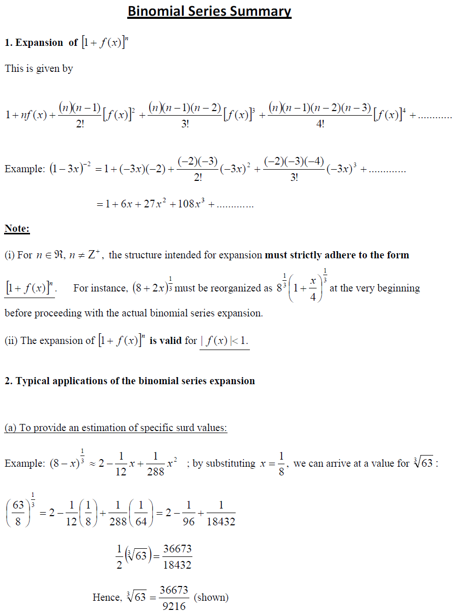
BINOMIAL SERIES EXPANSION

binomial summary.png

COMPLEX NUMBERS

complex numbers summary.png

APPLICATIONS OF DIFFERENTIATION

applications of diff summary.png

INTEGRATION TECHNIQUES

integration summary.png

NORMAL DISTRIBUTION

normal distributionsummary.png

CONSOLIDATED PURE MATHS SUMMARY PART 1

overall summary 1.png