Home
Question Sets
Summaries
Supplements
Further Maths
Mailbox
Contact
Home
Question Sets
Summaries
Supplements
Further Maths
Mailbox
Contact
Beyond H2 Maths
FURTHER MATHEMATICS
Applications Of Integration 1
DOWNLOAD FILE
APPLICATIONS OF INTEGRATION 4
DOWNLOAD FILE
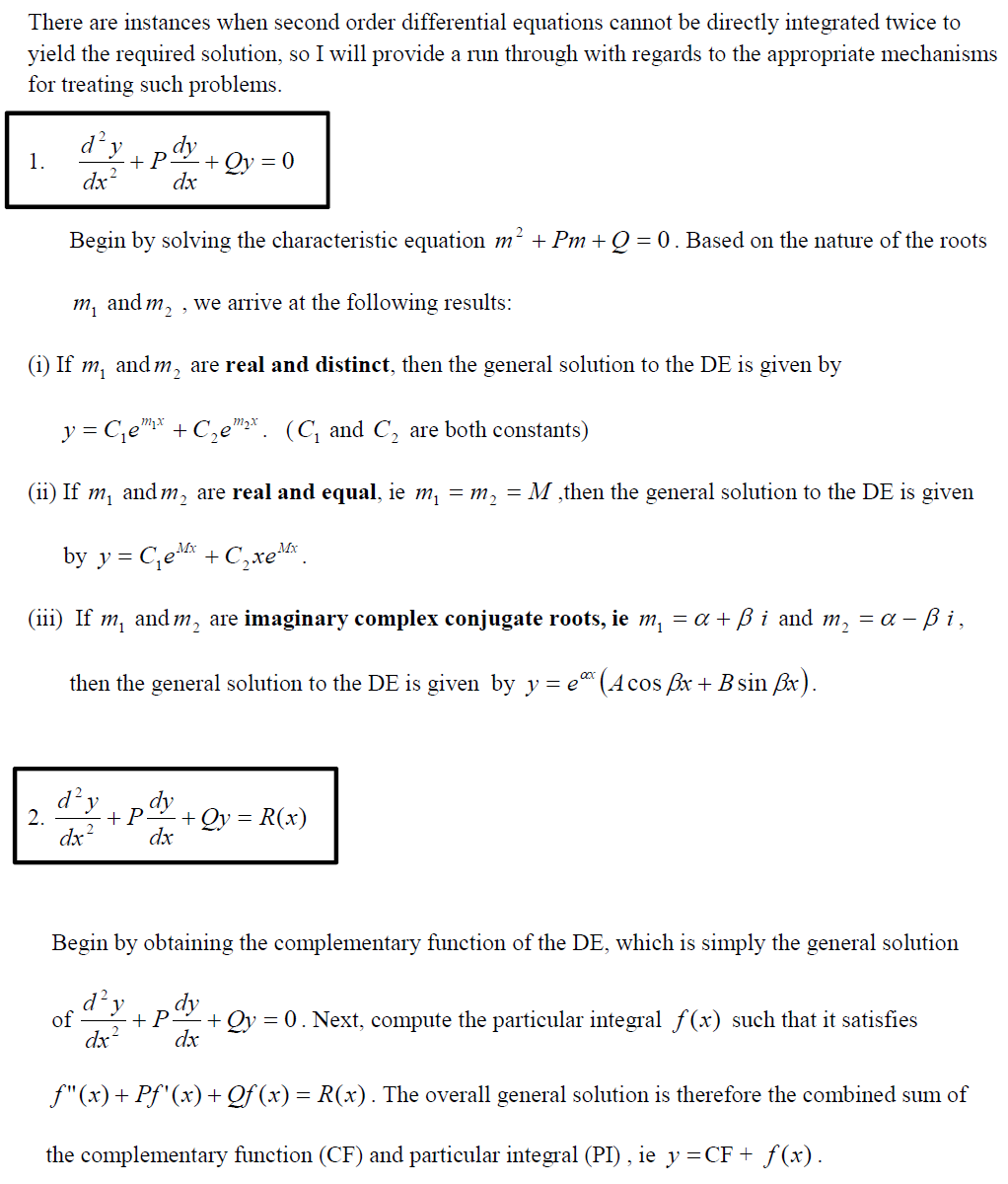
2ND ORDER DIFFERENTIAL EQUATIONS
DOWNLOAD FILE
POLAR COORDINATES 1
DOWNLOAD FILE
DOUBLE INTEGRATION 1
DOWNLOAD FILE
THE CHI-SQUARE TEST
DOWNLOAD FILE
APPLICATIONS OF INTEGRATION 2
DOWNLOAD FILE
INTEGRATION USING TRIGONOMETRIC SUBSTITUTION
DOWNLOAD FILE
PARTIAL DIFFERENTIATION 1
DOWNLOAD FILE
POLAR COORDINATES 2
DOWNLOAD FILE
DOUBLE INTEGRATION 2
DOWNLOAD FILE
EIGENVECTORS AND EIGENVALUES
DOWNLOAD FILE
APPLICATIONS OF INTEGRATION 3
DOWNLOAD FILE
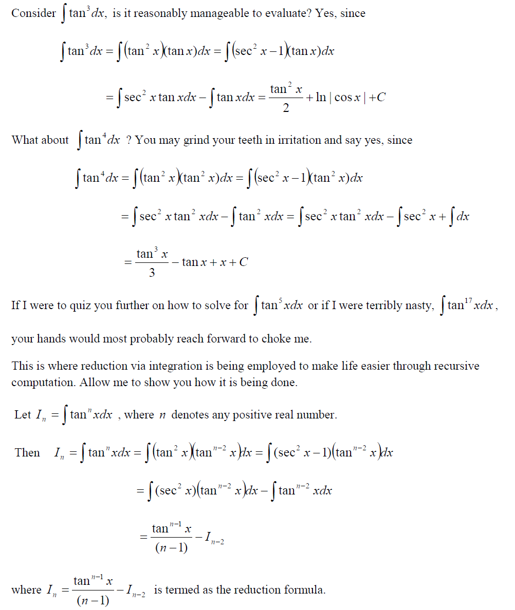
REDUCTION FORMULA
DOWNLOAD FILE
PARTIAL DIFFERENTIATION 2
DOWNLOAD FILE
DETAILED GUIDE TO POLAR CURVE SKETCHING
DOWNLOAD FILE
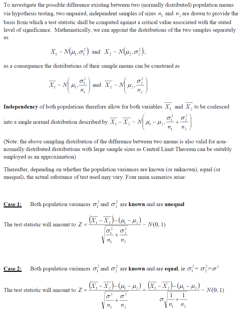
2-SAMPLE HYPOTHESIS TESTING OF DIFFERENCE IN POPULATION MEANS
DOWNLOAD FILE